ATMS 411 Atmospheric Physics [main page] [homework] .

UNR weather data, daily, long term (access code wrcc14).

Satellite Images
of visible, IR, and water vapor.


Daily plots of solar and thermal radiation at the surface.
Mie Theory Sphere Calculator

Atmospheric IR Calculator

Dewpont Temperature Calculator.
Aerosol Optics Measurements.

NCEP Reanalysis Data Set

Tool for soundings.

Atmospheric Animations

Atmospheric radiation transfer code.

Solar position and intensity calculator.

Simple periodic table.

NASA Terra and Aqua Satellite Images
General

Reno Tahoe Pyramid Areas
save as Google Earth KML files

Week 14: November 29th - December 3rd .

Plan for this week:
1. Schedule the grad student presentations (Friday?)
2. Final day of class on December 3rd (no class on December 7th.)
3. Final exam 7:30 a.m. December 10th.
4. Chapter 4 presentation continues on radiation transfer.
5. Balloon trajectory calculated for this sounding. Second trajectory only to 10 km height.
6. Highly encouraged to go to geo engineering seminars on December 6th.


Desert Research Institute
6 December 2010
11:00 a.m.
Stout Conference Rm A

Dr Lorraine A. Remer
NASA Goddard

Title: Survey of the activities under the MODIS-LACO aerosol team umbrella: Algorithms, instrument development, and data analysis

Davidson Science and Mathematics Center
Auditorium
UNR
6 December 2010
7:00 p.m.

Dr. Lorraine A. Remer
NASA Goddard

Title: Can particulates solve the global warming problem?



Atmospheric optics from the Golden Gate bridge in San Francisco.

Click on images to see a larger version.
Fog and air pollution
Atmospheric glory and cloud bow from fog.
fog glory

Week 13: November 25th, and Thanksgiving.
Week 12: November 15th through 20th.

Problem session on Friday Nov 19: Purpose, to discuss homework problem 9. See Mark Hausner's Matlab solution for this assignment.
General FTIR spectrometry and measurements of the downwelling IR radiation, spectrally resolved.
The approach below is much simpler than the treatment based on relatively first principles radiative transfer.
IR calculator for the atmosphere.

Incoming Solar Radiation (Insolation).
Atmospheric Animations.

See the comparitively long, drawn out theory based on IR radiation transfer.

Matlab solution by Mark Hausner on boundary layer height and a.m. inversion height determination.

Wave clouds from Thursday's class! (click on image).

Wavecloud, the movie! Taken from the DRI web camera.

NASA Aqua satellite image of the wave cloud at around 1:30 pm local on the same day! (See this site for more data).
Aqua satellite image of wave cloud on 22 Nov 2010. 4 p.m. sounding from this day. How does this sounding indicate wave cloud possibility?

New homework assignment posted. Read problem 4.11. Then read chapter 4 with the solution for this problem in mind.

Chapter 4 presentation.

Begin to study the solar and IR radiation at our UNR weather station.
Also, go see solar and Infrared radiation at sites around the world.

Blackbody radiation.

 

We will be working on atmospheric radiation transfer. Some basic questions to master:

Irradiance. Radiance. Units, defintions, intuition. The trashcan demonstration.
What are the wavelengths of solar radiation, and why?
What are the wavelengths of terrestrial (infrared) radiation in the atmosphere, and why?
Black body radiation spectrum, and integrated spectrum.
Stefan-Boltzmann Law. Sigma tee to the 4th!!!
Wein's displacement law: The shorter you are, the more energetic you are, and the faster you run around! You have thermal energy.
Scattering of light by dipoles: Applications to understanding the blue sky, and the character of radar scattering from hydrometeors.
Absorption of light by gases and particles: UV and visible wavelengths are associated predominantly with electronic transitions; IR with vibrational and rotational transitions; microwave with rotational transitions.
How does a microwave oven work?
Schwardchild's Equation. Infrared radiation transfer. IR is emitted and absorbed, and scattered in our atmosphere.
Solar radiation and photochemistry. Photolysis of O2 NO2 molecules.
Why are clouds white and gray?
Why is sunset red?
Mie scattering: solution of Maxwell's equations for electromagnetism for a plane wave interacting with a homogeneous spherical particle.
Radiation transfer in multiple scattering media -- clouds and snow.
Thinking in the IR: How would the world look if we have eyes that responded to the infrared spectrum?

Atmospheric energy balance: role of clouds, aerosol, and greenhouse gases.
The 'greenhouse' effect: Facts.

Week 11: November 8th through 12th

New homework assignment posted. Read problem 4.11. Then read chapter 4 with the solution for this problem in mind.

Chapter 4 presentation.

Begin to study the solar and IR radiation at our UNR weather station.
Also, go see solar and Infrared radiation at sites around the world.

No class on Thursday, Veteran's day.

Problem session on Friday: Purpose, to discuss the homework problem.

We will be working on atmospheric radiation transfer. Some basic questions to master:

Irradiance. Radiance. Units, defintions, intuition. The trashcan demonstration.
What are the wavelengths of solar radiation, and why?
What are the wavelengths of terrestrial (infrared) radiation in the atmosphere, and why?
Black body radiation spectrum, and integrated spectrum.
Stefan-Boltzmann Law. Sigma tee to the 4th!!!
Wein's displacement law: The shorter you are, the more energetic you are, and the faster you run around! You have thermal energy.
Scattering of light by dipoles: Applications to understanding the blue sky, and the character of radar scattering from hydrometeors.
Absorption of light by gases and particles: UV and visible wavelengths are associated predominantly with electronic transitions; IR with vibrational and rotational transitions; microwave with rotational transitions.
How does a microwave oven work?
Schwardchild's Equation. Infrared radiation transfer. IR is emitted and absorbed, and scattered in our atmosphere.
Solar radiation and photochemistry. Photolysis of O2 NO2 molecules.
Why are clouds white and gray?
Why is sunset red?
Mie scattering: solution of Maxwell's equations for electromagnetism for a plane wave interacting with a homogeneous spherical particle.
Radiation transfer in multiple scattering media -- clouds and snow.
Thinking in the IR: How would the world look if we have eyes that responded to the infrared spectrum?

Atmospheric energy balance: role of clouds, aerosol, and greenhouse gases.
The 'greenhouse' effect: Facts.

Week 10: November 1st through 5th

Climate modeling seminar announcement. Tuesday at noon in the Orvil School of Nursing.

UNR ATMS program graduate Patrick Joyce shines in Alaska!

Finish off student sounding presentations.

Interpretation of skewT indices.

Demonstration of wet bulb thermometer. Someone bring along a calculator. We'll use the skew T for this demo.

Midterm on Thursday, good luck!. 

Homework 7 due on Tuesday.

Continue with chapter 3 presentation: Atmospheric Thermodynamics .

Week 9: October 25th through 29th

Climate modeling seminar announcement.

Finish off chapter 3 this week.  Midterm next week.  Homework due, sounding presentations on Thursday.

Major knowledge issue with soundings: frost point versus dew point temperature for T < 0 C.

Continue with chapter 3 presentation: Atmospheric Thermodynamics .

Read this on the lifted index. It is a very simple measure of the likelihood of thunderstorm activity, and is easy to get from the skew T log P.

Week 8: October 18th through 23th

STUDENT PRESENTATIONS ON 21 OCTOBER 2010:

JD McAlpine: ENSO, AO (el nino southern oscillation, arctic oscillation) use in medium range forecasting, and application to weather derivatives.

Ben Hatchett: Intense convective snow storms: Improved predictions and characteristics, and the confluence of polar and subtropical jets at relatively high latitudes.

Sounding for 4 a.m. Oct 18th, soggy morning.

Continue with chapter 3 presentation: Atmospheric Thermodynamics . Practice with skewT, wet bulb T, JD McAlpine presentation of his class project.

Read this on the lifted index. It is a very simple measure of the likelihood of thunderstorm activity, and is easy to get from the skew T log P.

 

Week 7: October 11th through 16th

Class archive 14 October 2010.

Continue with chapter 3 presentation: Atmospheric Thermodynamics (this presentation grows as we progress through the chapter).

Comet Program Meteorological Education on Skew T log P.

Lenticular cloud example.

Skew T presentation for getting to know and love this versatile chart by practicing on these empty sheets.

We will work some problems from the Skew T Tutor: please review.
See explanation of hodographs.
Hodographs in severe weather forecasting.

Weather for Reno October 1 through 12th.
skew Ts
Hodographs
ground based station
condensed version of ground based station

NOTES:
1. Undergrads can also do a project for extra credit if they would like.
2. If you are sick or can't come to class, you can still join in with the internet using this link. Sign in as a guest using your name.

Week 6: October 4th through 9th

Continue with chapter 3 presentation: Atmospheric Thermodynamics (this presentation grows as we progress through the chapter).

We have transitioned from extreme dry record heat last week to flood warnings this week!
Potent little weather maker. Water vapor loop.

NOTES:
1. Graphical style for homework.
2. Undergrads can also do a project for extra credit if they would like.

Weeks 3 - 5: 5th through 30th September

Chapter 3 presentation: Atmospheric Thermodynamics (this presentation grows as we progress through the chapter).

Sounding 5 am local on 29 Sept 2010: Moist enough for cirrus clouds to form.
Sounding 5 pm local on 29 Sept 2010: Mixing height = 550 mb, 3.5 km.
Current 250 mb winds and IR image.

Time series of UNR temperature, radiation, and lapse rate ; lapse rate, wind, and particle air pollution September 25 - 29.

Spectacularly dry, hot, still sounding from Reno in the morning on 27 Sept 2010.
Satellite sequence 27Sep0z 6z 12z and analysis that helps explain the upper level temperature profile.
(part of a larger data set, and still more).
And check out the even drier sounding at 4 pm on the 27th of Sept 2010.

Skew T Log P for Lamont Oklahoma, DOE Atmospheric Research Facility Area, January 2010 and July 2010

Use of skew T in forecasting: part 1, part 2, part 3.
Atmospheric Physics Demonstrations.

Great tool for playing with the isentropes (surfaces of constant potential temperature) and soundings.

NCEP Reanalysis data set.

Hurricanes.

White board photographs from 7 Sept 2010 class.

Begin reading chapter 3, Atmospheric Thermodynamics. Supplemental Browsing.
The goals (learning and review objectives) this week and next are:

a. Ideal gas equation applied to dry and moist air. SEE THIS AWESOME SIMULATION!
b. Virtual temperature.
c. Potential temperature.
d. Hydrostatic equation.
e. Increasingly detailed description of the temperature and pressure distribution in the atmosphere.
f. SkewT logP diagrams.
f-g. Relative humidity, absolute humidity.
g. Dew point temperature.
h. Wet bulb temperature.
i. Equivalent potential temperature.
j. Latent heat release and absorption in condensation and evaporation of water.
k. Stability of air parcels.
l. Indices on soundings.

Bring to class: Another idea on how we can loft the balloon.

Week 2: 30 August

The goals this week are:
a. general features of the atmosphere.
b. to introduce the basic thermodynamics of the atmosphere.

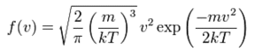
(see Wikipedia). This figure is relevant to our discussion of atoms escaping
through the top of the atmosphere and how it is affected by the mass of the atom. Note that
lighter atoms are more likely to be moving faster than heavy atoms.

Examples include comparison of the pressure in the atmosphere with that in the ocean,
how molecules are lost to space in relation to kinetic theory,
and the speed of sound in the atmosphere. We will discuss some of the homework problems (pg1, pg2) in class too.

We will use the white board and the presentation below (from last week).

Overview: Atmospheric Science relies heavily on measurements and models!

General knowledge and interesting thoughts:
Origin of the Earth's Atmosphere.

Where we are headed:
We will go to Chapter 3 next, Atmospheric Thermodynamics.
Then we will go to Chapter 6, Cloud Physics,
followed by Chapter 4, Atmospheric Radiation.

Week 1: 23 August

Introductions. Syllabus. Homework. Homework style guide.
Course Plan - cover chapters 1, some of 2, 3, 4 and this paper , 6, 7, and 9.
Grad students should begin working on their projects. Ideas.
Overview: Atmospheric Science relies heavily on measurements and models!

World record hail stone in Vivian South Dakota. See more on hail. See updrafts in action.

The Earth's atmosphere is very dynamic (movie 5 fps and 30 fps).
Vertical structure of the atmosphere.