This chapter is about the death of photons, shake, rattle, and roll, and is related to emission as well.
It starts out with a discussion of skin depth, an issue central to the optics of small particles also.

The homework explores this topic in detail, and makes use of the HITRAN spectroscopic data base.

For the second problem, pick your favorite molecule and do your calculations with it. Some ideas:
Pick the strongest CO2 line you can find at the center of the atmospheric IR window, or a methane line in the same window.
If your calculations show a massively saturated line after 1 km path, then you will have to calculate widely.

The basics:
The distribution of molecules in the atmosphere -> chemistry, radiation, gravity.
These molecules have wavelength dependent radiation absorption strengths, second view also, (they know atomic and molecular physics).
The result: Transmission of radiation through the atmosphere, and emission.
Transition types:

ROTATIONS:
Molecular orientations: Leads to Moments of Inertia and Rotational Transitions and Rotational Absorption Spectrum.
BOTTOM LINE FOR ROTATIONAL TRANSITIONS:

VIBRATIONS:
Diatomic Molecules and vibration quantum numbers.

VIBRATIONS AND ROTATIONS: (selection rules -- conserve angular momentum, energy).
Energy levels for combined states.
Two important points: 1 and 2.
Normal modes of vibration, and energy levels.

ALL TOGETHER NOW
Electronic, vibrational, and rotational transitions. Thermal energy kT <- -> is it enough to interact with these state?

LINE BROADENING
Schematic view of an absorption spectrum.
Bottom line, spectral width.
Types of broadening.
What we need to described spectral lines.
Doppler and pressure broadening for same line widths: Note the wider wings of the pressure broadening profile.
Doppler and pressure broadening in the atmosphere. Note that Doppler broadening is important at low pressure.
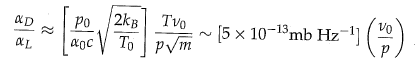
Ratio of Doppler and pressure (Lorentz) line widths.
THEORY FOR LINE BROADENING
How to calculate the absorption cross section per molecule:
Equation for Doppler Broadening Calculation.
Equation for Pressure Broadening Calculation.
How to calculate transmission and emission from the assembled parts.

CONTINUUM ABSORPTION
Definition.
Water vapor continuum absorption reasons.

ALL TOGETHER AGAIN
Molecular absorption as a function of wavenumber. Should be able to reproduce these figures from the HAWKS/HITRAN homework.
What is all the fuss about CO2? Adding more?
Pressure broadening effects for CO2.